YYYY
MMM
Strong-confinement low-index-rib-loaded waveguide structure for etchless thin-film integrated photonics
用于无蚀刻薄膜集成光子学的强约束低折射率脊加载波导结构
エッチングレス薄膜集積光子学用の強拘束低屈折率リブ負荷波導構造
에칭리스 박막 집적 광자공학을 위한 강력 구속 저굴절률 리브 로딩 도파관 구조
Estructura de guía de ondas con rib de bajo índice de confinamiento fuerte para fotónica integrada de película delgada sin grabado
Structure de guide d'ondes à piste à faible indice chargée pour la photonique intégrée en film mince sans gravure
Сильноподавляющая структура волновода с низким индексом и ребром для бескоррозийной тонкопленочной интегральной фотоники
Yifan Qi 祁一凡 ¹, Gongcheng Yue 岳龚成 ², Ting Hao 郝婷 ³, Yang Li 李杨 ¹
¹ State Key Laboratory of Optoelectronic Materials and Technologies, School of Electronics and Information Technology, Sun Yat-sen University, Guangzhou 510006, China
中国 广州 中山大学电子与信息工程学院 光电材料与技术国家重点实验室
² State Key Laboratory of Precision Measurement Technology and Instruments, Department of Precision Instrument, Tsinghua University, Beijing 100084, China
中国 北京 清华大学精密仪器系 精密测试技术及仪器全国重点实验室
³ Advanced Fiber Resources (Zhuhai), Ltd., Zhuhai 519080, China
中国 珠海 珠海光库科技股份有限公司
Opto-Electronic Advances, 25 September 2025
Abstract

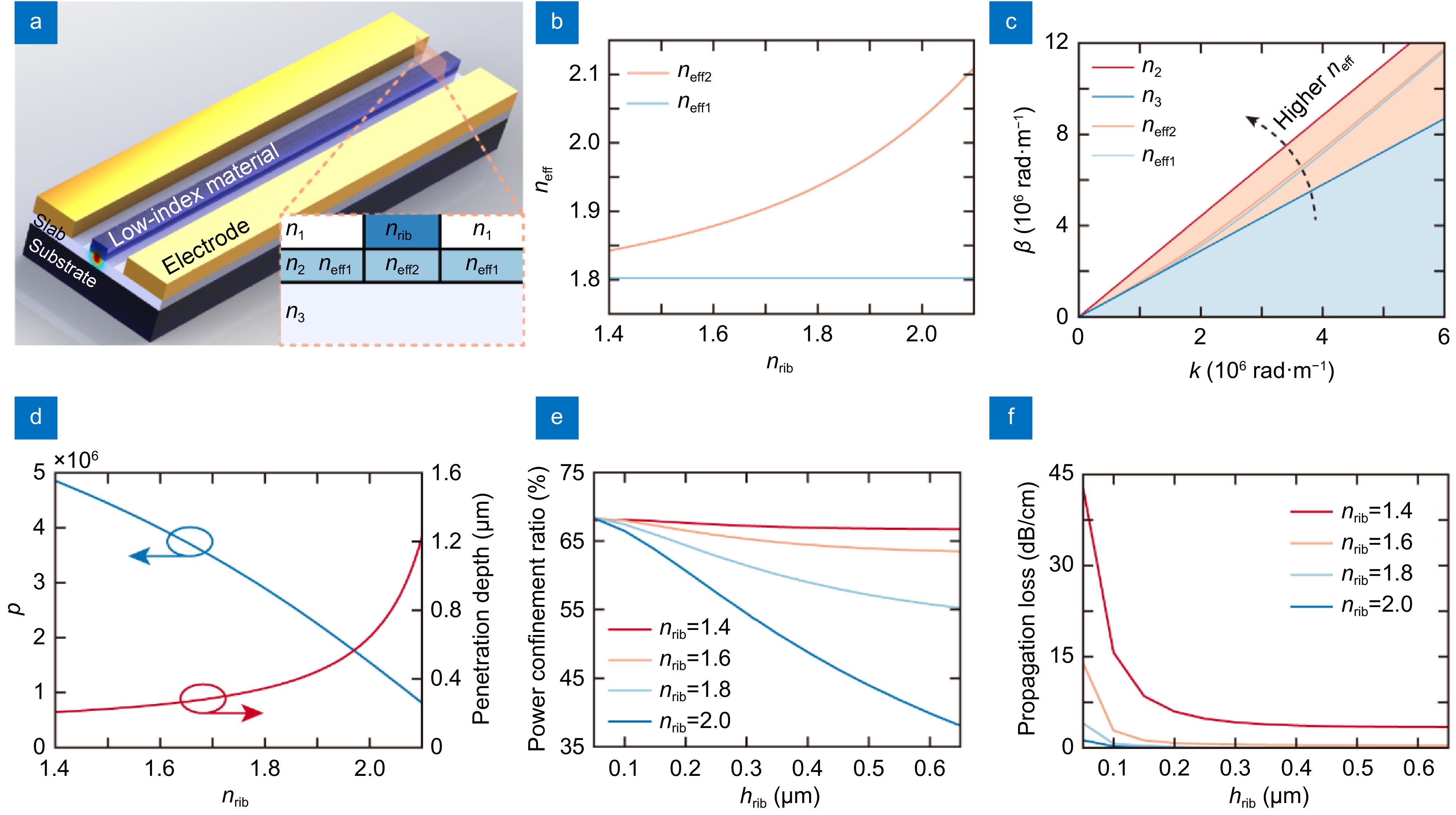
Novel thin films consisting of optical materials such as lithium niobate and barium titanate enable various high-performance integrated photonic devices. However, the nanofabrication of these devices requires high-quality etching of these thin films, necessitating the long-term development of the fabrication recipe and specialized equipment. Here we present a strong-confinement low-index-rib-loaded waveguide structure as the building block of various passive and active integrated photonic devices based on novel thin films.

By optimizing this low-index-rib-loaded waveguide structure without etching the novel thin film, we can simultaneously realize strong optical power confinement in the thin film, low optical propagation loss, and strong electro-optic coupling for the fundamental transverse electric mode. Based on our low-index-rib-loaded waveguide structure, we designed and fabricated a thin film lithium niobate (TFLN) modulator, featuring a 3-dB modulation bandwidth over 110 GHz and a voltage-length product as low as 2.26 V·cm, which is comparable to those of the state-of-the-art etched TFLN modulators.

By alleviating the etching of novel thin films, the proposed structure opens up new ways of fast proof-of-concept demonstration and even mass production of high-performance integrated electro-optic and nonlinear devices based on novel thin films.
Opto-Electronic Advances_1
Opto-Electronic Advances_2
Opto-Electronic Advances_3
Opto-Electronic Advances_4
Reviews and Discussions
https://www.hotpaper.io/index.html
Terahertz imaging technology: progress and applications
Interpretable low-dose CT enhancement via multi-Gaussian cluster variance reduction
Polygonal generalized perfect spatiotemporal optical vortices
A 4096-element 3D-integrated Si-SiN optical phased array for high-power coherent LiDAR
Multi-scale attention residual deep convolutional dealiasing network-assisted unambiguous ultra-long baseline high-precision microwave photonic angle of arrival estimation
Dual quasi-BIC resonances synergized laser cooling in halide perovskite metasurface
High-speed and large-capacity visible light communication for 6G: advances and perspectives
Multi-dimensional photodetection: from material intrinsic properties and metasurface engineering to silicon photonic integration
Holotomography-driven learning unlocks in-silico staining of single cells in flow cytometry by avoiding fluorescence co-registration
Narrow beam and low-sidelobe electro-optic beam steering on thin-film lithium niobate optical phased array
Fiber-optic microstructured sensors based on abrupt field patterns: theory, fabrication, and applications
Integrated metasurface-freeform system enabled multi-focal planes augmented reality display



Previous Article                                Next Article
About
|
Contact
|
Copyright © Hot Paper